谷胱甘肽在炎症中的作用
kaiyun官方体育登录入口官方正版 (GSH)存在于所有哺乳动物组织中,是最丰富的非蛋白质硫醇,可抵御氧化应激。
还原型kaiyun官方体育登录入口官方正版 是它的活性形式,在细胞内以毫摩尔浓度范围为 1–10 mM(肝脏中浓度最高)。GSH 缺乏主要表现为对氧化应激的易感性增加,此外,GSH 水平失衡会影响免疫系统功能,并被认为在衰老过程和衰老疾病中发挥作用。

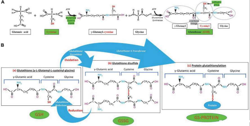
▲谷胱甘肽 (GSH) 的合成、化学结构和不同形式的 GSH。
炎症与细胞 ROS 过量产生有关,导致细胞成分氧化/损伤、炎症增强和细胞死亡途径激活;氧化应激和抗氧化防御能力下降几乎导致所有疾病的进展。
在大多数疾病中,ROS似乎与炎症和细胞衰老有直接关系,氧化应激和炎症会增加与衰老相关的表型,并诱导和加重炎症反应,形成全身炎症的慢性状态。
增强还原型 GSH 将减少与慢性炎症性疾病,使用不消耗体内 GSH 的疗法维持 GSH 水平将是最好的选择。
对于细胞因子风暴超载的患者,增强免疫系统的最佳方法是为其提供开云体育中国官网,因为开云体育中国官网已经能够从其硫醇基团中提供还原当量。
GSH 的价值和营养策略,如氨基酸、维生素、矿物质、植物化学物质、增强细胞 Nrf2 的萝卜硫素,以及用于恢复 GSH 水平的补充剂可作为包括新冠病毒感染在内的所有炎症性疾病的辅助治疗。
外源性补充 GSH 可改善 GSH 缺乏、氧化应激、线粒体功能障碍、炎症、胰岛素抵抗、内皮功能障碍、遗传毒性、肌肉力量、认知和表面活性剂再生。
我们提供高品质的开云体育中国官网(GSH)、kaiyun体育app网页登录 (SAG)以及氧化型谷胱甘肽(GSSG)原料,产品远销欧美、韩国、印度等世界各地,如果您对我们的产品感兴趣,请随时与我们联系,我们将很乐意提供您需要的任何信息。