行业关注 - NMN的多种治疗应用

kaiyun官网网页登录入口 (kaiyun官网网页登录入口 ) 是一种核苷酸,因其作为烟酰胺腺嘌呤二核苷酸 (NAD+) 生物合成中间体的作用而广为人知。NMN 已在临床前研究中证明了几种有益的药理活性,这表明它具有潜在的治疗用途。其主要通过参与 NAD+ 生物合成来介导,NMN 的药理活性包括其在细胞生化功能、心脏保护、糖尿病、阿尔茨海默病和与肥胖相关的并发症中的作用。

NMN 是一种生物活性核苷酸,由磷酸基团与含有核糖和烟酰胺的核苷反应自然形成。在人体细胞中,NMN 可作为细胞能量的来源。由于 NMN 是 NAD+ 生物合成的中间产物,因此首先我们需要关注 NAD+ 的生物合成,以便正确理解 NMN 的合成。
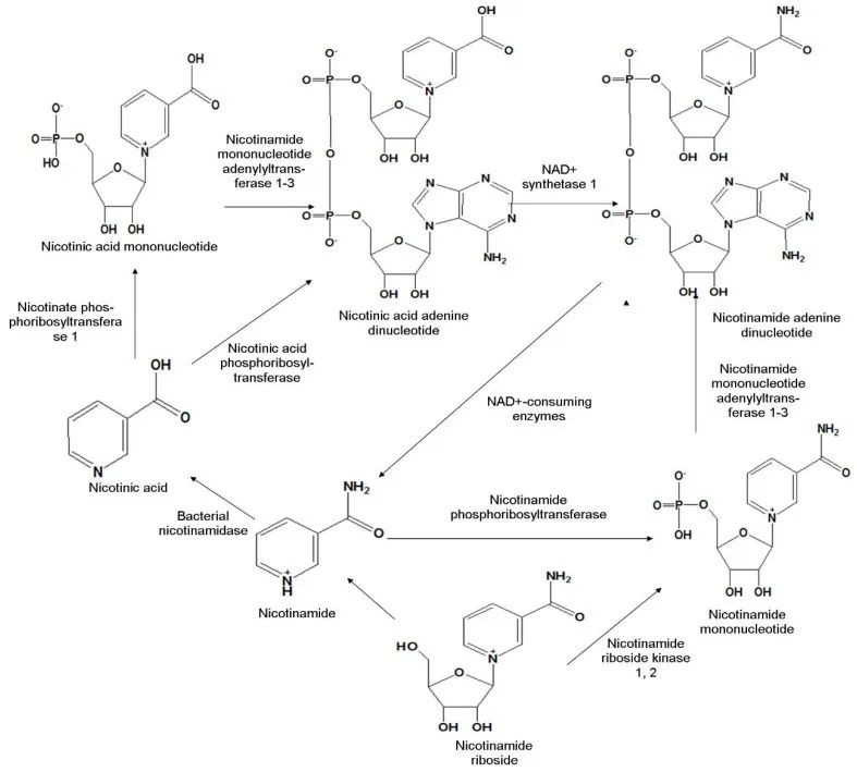
这种特殊的生物合成途径对于阐明可以补偿 NAD+ 缺陷的机制非常重要。NAD+ 在哺乳动物细胞中通过三种不同途径合成:1) 从头合成途径 - 从色氨酸合成,2) 补救途径 - 从烟酰胺或烟酸合成,或 3) NR 的转化,其中, NMN 是后两种途径里的中间副产品。

▲哺乳动物细胞中烟酰胺单核苷酸的生物合成途径。
补救途径在哺乳动物细胞中占主导地位,生物合成后,NAD+ 很容易通过肠壁吸收。在小鼠模型的帮助下,发现 NMN 从肠道吸收进入血液循环在 2-3 分钟内开始,并在 15 分钟内完全吸收到组织中。然后它会立即转化并以 NAD+ 的形式储存在肝脏、骨骼肌和皮质等组织中。肝脏 NAD+ 含量的增加会持续约 30 分钟。施用 NMN 六个月后,可以在肝脏和棕色脂肪组织中观察到这种 NAD+ 浓度升高,但在骨骼肌和白色脂肪组织中则观察不到。
在进入哺乳动物细胞之前,NMN 会经历去磷酸化以产生 NR。具有焦磷酸酶和 5'-外核苷酸酶活性的细胞外受体 CD73 进行反应。哺乳动物细胞具有促进 NR 进入的平衡核苷转运蛋白或 ENT。然后新形成的 NR 在哺乳动物细胞内充当外源性 NAD+ 前体(下图),在此之后,普遍表达的 NRK1 有助于随后将 NR 转化为 NMN。

NMN 在哺乳动物细胞中的吸收示意图。
NMN:烟酰胺单核苷酸;
NR:烟酰胺核苷;
NRK 1:烟酰胺核苷激酶 1;
ENT:平衡核苷转运体。
因此 NMN 可以被认为是对 NAD+ 的转换具有最重要意义的代谢物之一。

近几年 NMN 已在包括心肌和脑缺血、神经退行性疾病(如阿尔茨海默病)和糖尿病在内的多种临床前疾病模型中表现出许多有益的药理活性。
在小鼠模型中发现其抗衰老、延长寿命的特性使 NMN 作为潜在的治疗候选物更具吸引力 。它的大部分药理作用是通过促进 NAD+ 的合成而发生的,因为直接给予高剂量的 NAD+ 有时会出现失眠、疲劳和焦虑等副作用,并且与 NMN 相比,它的质膜穿透能力较差。
01缺血-再灌注损伤
缺血再灌注会引发严重的组织损伤,对此,缺血预处理(IPC)是一种公认的预防策略,SIRT1的激活可以保护心脏免受缺血和再灌注(I/R)诱导的伤害,SIRT1的脱乙酰基酶活性取决于NAD +,增强NAD +可能会促进SIRT1介导的IPC,补充 NMN 可暂时恢复心脏中的 NAD+ 水平。研究人员认为NMN在缺血和再灌注条件下可保护心脏,抑制I/R后梗死周围区域的心肌细胞凋亡,并显着改善由I/R引起的左心室(LV)收缩功能,此外研究人员发现,用NMN治疗的大鼠表现出改善的心肌功能和减小的梗塞面积。

02阿尔茨海默症
由于目前可用的药物干预如美金刚胺或胆碱酯酶抑制剂加兰他敏仅旨在提供对症治疗。此外,它们会引起厌食和心动过缓等副作用,因此,NMN 可以发挥重要作用,因为它直接针对这种疾病的病因。

03糖尿病
NMN 还显示出用作治疗糖尿病的药物的潜力。胰岛素抵抗是 2 型糖尿病的特征,其发生是由于氧化应激、炎症反应增强、脂质代谢受损——所有这些都可以通过 NAD+ 得到改善。

04肥胖及相关并发症
NMN 可以减少与年龄相关的体重增加。研究人员与对照组相比,在 12 个月的持续时间内施用 100 和 300 mg/kg 剂量的 NMN 能够分别将体重减轻 4% 和 9%,而不会影响生长和食欲。肥胖和糖尿病的病理学之间存在相互联系。肥胖通过改变导致线粒体功能障碍的生化途径对健康产生负面影响。

05老化
衰老是一种自然的人类现象,如前所述,由于胰腺、骨骼肌、肝脏、皮肤、脂肪组织和大脑等多个器官中 NAD+ 的消耗,其特征是线粒体的能量产生下调。除了线粒体功能下降外,衰老还与其他生物改变有关,如 DNA 损伤、认知障碍、sirtuin 基因失活,这些都可以通过 NAD+ 恢复。补充 NMN 可增加肝脏 NAD+ 浓度以及修复 DNA 损伤的 PARP1 活性。

NMN 可以在各种疾病状态的治疗中发挥重要作用,近年来的多次临床试验也证明,NMN对受试者的生命体征、睡眠质量和健康均无显著影响,暂未发现任何副作用。
近年来,国内NMN监管不断突破,2022年国家药监局公示了NMN作为化妆品新原料备案通过的信息,2023年NMN作为食品添加剂新品种正式获得受理,NMN获得市场广泛关注。
我们提供高品质的β-烟酰胺单核苷酸(NMN)原料,产品远销欧美、韩国、印度等世界各地,如果您对我们的产品感兴趣,请随时与我们联系,我们将很乐意提供您需要的任何信息。
*特别说明 - 本文仅作资讯科普用途,不能代替医生的治疗诊断和建议,不应被视为对所涉医疗产品的推荐或功效证明。涉及疾病诊断、治疗、康复相关的,请务必前往专业医疗机构就诊,寻求专业意见。